“课程思政”是高校以习近平总书记关于教育工作的重要论述为指导思想,落实立德树人根本任务的重要举措,是构建德智体美劳全面发展的教育体系和培养高水平人才的有效切入。近年来,必一运动bsport体育必一运动bsport体育积极推行“课程思政”,牢牢把握住艺术专业课程中思政教育元素的“挖掘”与“融入”这个关键点,不断将价值塑造、知识传授和能力培养三者融为一体,引导员工自觉传承和弘扬中华优秀传统文化,全面提高员工的审美和人文素养,增强文化自信,“三全育人”格局加速形成。
本期课程思政专栏中,我们透过经典影视剧歌曲来重温、感知中国共产党带领中国人民奋进、拼搏的百年光辉历程,向经典音乐致敬!向书写历史的英雄人民致敬!
——指导老师冯玲老师
中国共产党成立
南湖岸边垂柳依依
撩起我们无边的思绪
湖中水面波光粼粼
搅动我们心湖的波涛
一艘画舫,停泊在南湖上
炽热的阳光点燃年轻的心房
十三颗心汇聚嘉兴的湖船
1921年7月,历史在这里发生改变
伟大的中华民族进入一个新的开端
红船,载着穿透长夜的光明
把燎原的星星之火点燃
红船,中国共产党诞生的摇篮
满载国人的希望
从南湖启航!
从1921年到2021年,中国共产党走过了整整一百年的历程。中国影视行业用自己生动的方式记录下了这用鲜血、汗水、泪水、勇气、智慧、力量写就的百年。一段旋律勾起一段回忆,一首老歌记录一个时代。回望党史,红色电影音乐也用自己独特的方式让党的光辉历程铭刻在人们心间。
经典影视剧歌曲中的党史回望
1921年
中国共产党诞生
1921年,在浙江嘉兴南湖的一艘普通的画舫游船上,中国共产党诞生了! 一部电影《红船》及同名歌曲由此产生。

1930年
红色娘子军成立
1930年8月,中国工农红军琼崖独立师和娘子军连在海南正式成立。
电影《红色娘子军》由谢晋执导 ,祝希娟、王心刚等主演。该片讲述封建女奴吴琼花勇敢反抗奴隶主。在遇到红军战士洪常青后,她毅然加入革命队伍,从此蜕变成“红色娘子军”的故事。
歌曲《娘子军连歌》具有鲜明的进行曲风格,歌词铿锵有力,歌词“向前进 向前进,战士的责任重,妇女的冤仇深”可谓高喊出数千年封建对女性的压迫,和妇女们对自己命运的反抗。


1934年
长征开始
1934年10月,第五次反“围剿”失败后,中央主力红军为摆脱国民党军队的包围追击,被迫实行战略性转移,退出中央根据地,进行长征。电视剧《长征》讲述在二十世纪三十年代,第五次反“围剿”失败后,中国共产党领导中国工农红军在逆境中战略转移,完成了震惊世界的二万五千里长征的过程。
歌曲《十送红军》作为电视连续剧《长征》插曲、片尾曲,歌词以叙事为基础,并借叙事来表达革命根据地人民对红军的深厚感情以及对革命胜利的强烈期盼。


1938年
抗战时期
抗日战争时期,八路军总司令朱德率领刚刚改编完的八路军三个主力师东渡黄河建立太行山根据地。
影片《在太行山上》讲述了八路军总司令朱德率领刚刚改编完的八路军三个主力师东渡黄河建立太行山根据地的故事。
歌曲《在太行山上》是电影《太行山上》主题曲,由桂涛声作词,冼星海作曲,是为在山西境内浴血奋战、抗击日本侵略者的抗日军民而创作的一首合唱曲。


1949年
新中国成立
1949年10月1日,毛泽东主席在天安门城楼上向全世界庄严宣告:“中华人民共和国中央人民政府今天成立了!”向世界宣告中华人民共和国中央人民政府成立。
电影《1921》是一部献礼建党100周年的历史剧情电影。该片讲述了首批中国共产党人,在风雨如磐的日子中担起了救亡图存重任,让中国革命前途焕然一新的故事。
歌曲《没有共产党就没有新中国》是电影《1921》主题曲,该曲由曹火星于1943年创作,朴实的歌词、滚烫的旋律,表达出亿万中国人民的心声,始终如旗帜,似号角,坚定着人民跟党走的信念,鼓舞和激励着几代中国人民在中国共产党的旗帜下奋勇前进。


1950年
抗美援朝战争
抗美援朝战争,是20世纪50年代初爆发的朝鲜战争的一部分,仅指中国人民志愿军参战的阶段,也包括中国人民支援朝鲜人民抗击美国侵略的群众性运动。
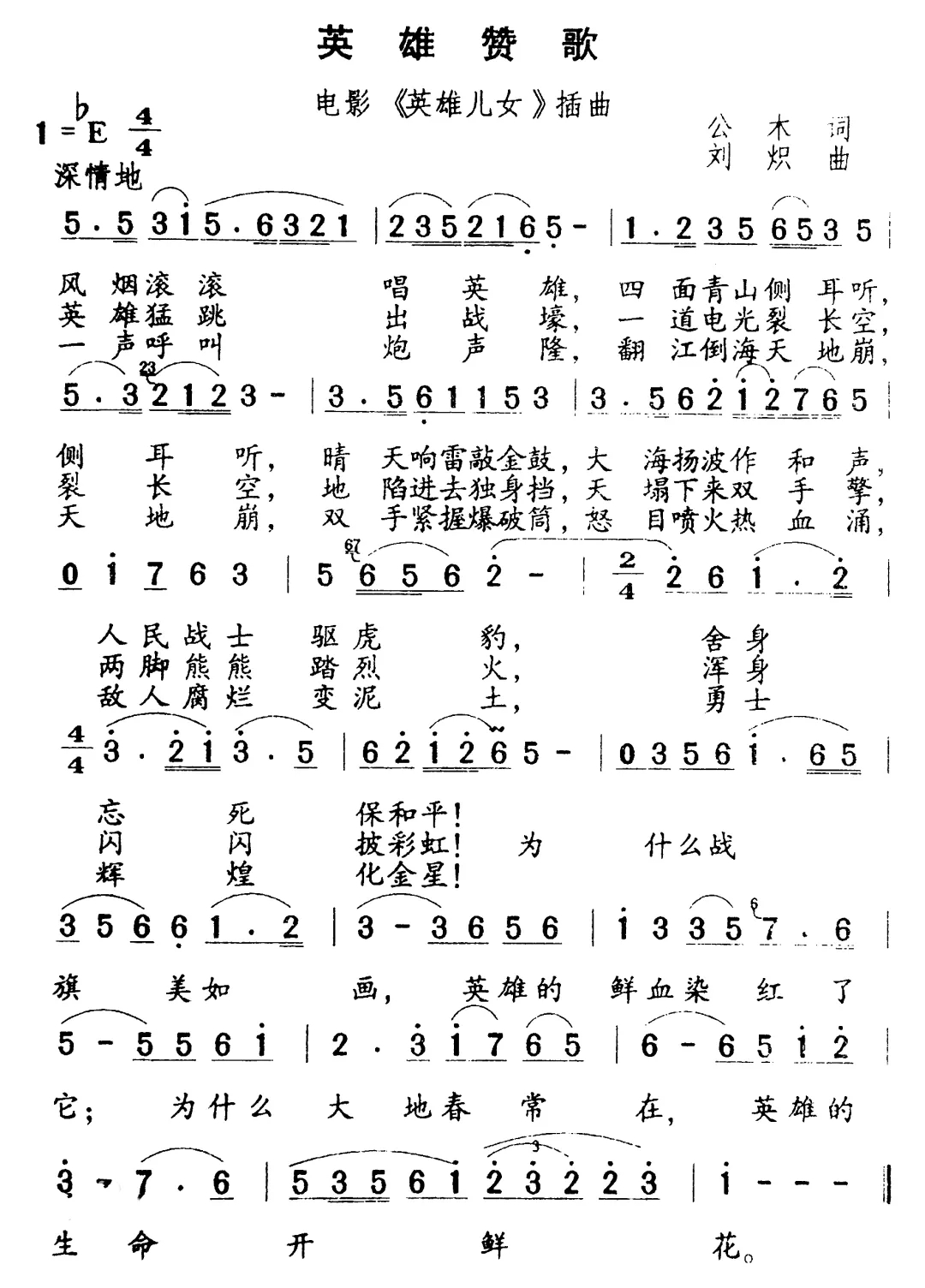
影片讲述了抗美援朝时期,志愿军战士王成阵亡后,他的妹妹王芳在政委王文清的帮助下坚持战斗,最终和养父王复标、亲生父亲王文清在朝鲜战场上团圆的故事。
歌曲《英雄赞歌》是影片《英雄儿女》的主题曲,由公木作词,刘炽作曲,是一首礼赞以王成为代表的千千万万个革命英雄的颂歌。


1951年
边疆反恐反特务
新中国建立后,我国以民族区域自治为核心,坚持民族平等、民族团结的各项民族政策,赢得了各民族群众的衷心拥护,但是与民族团结主流并存的是一股从旧中国延续下来的分裂暗流,20世纪50年代以来新疆分裂活动反复出现、反分裂斗争时起时伏。
影片《冰山上的来客》从真假古兰丹姆与战士阿米尔的爱情悬念出发,讲述了边疆战士和杨排长一起与特务假古兰丹姆斗智斗勇,最终胜利的阿米尔和真古兰丹姆也得以重逢的故事。
歌曲《花儿为什么这样红》是电影《冰山上的来客》的插曲,由雷振邦创作词曲。歌曲加长了乐句结构,增强了抒情性。曲调突出了民族色彩。歌词保持了新疆塔吉克族民间诗歌的特色,以花象征友谊和爱情,自问自答,既简洁明了,又诚恳殷切,情感真挚地赞美了友谊和爱情。


1963年
石油基本自给
新中国成立前,我国石油工业基础十分薄弱。新中国成立后,初步形成4个石油、天然气生产基地。60年代初,大庆石油会战打响。1963年,我国高速度、高水平地探明和建设了大庆油田,形成了年产600万吨原油的生产能力。1963年12月,周恩来总理在第二届全国人民代表大会第四次会议上庄严宣布:“我国需要的石油,现在可以基本自给了。”影片《创业》由于彦夫执导,该片讲述了青年工人周挺杉决心甩掉“中国贫油”的帽子,带领钻井队艰苦奋斗,终于为国家拿下了面积大、产量高的创业油田,使我国基本上实现了原油自给。歌曲《满怀深情望北京》是电影《创业》插曲,由秦咏诚作曲, 张天民作词,歌词抒发了石油人的豪情壮志,配合影片反映出艰难多舛又轰轰烈烈的创业史。


1965年
“学习雷锋”热潮
共产主义战士雷锋(1940-1962)在短暂的22岁的生命中,将有限的生命投入到无限的为人民服务中,全心全意为人民服务。电影《雷锋》讲述主人公雷锋从一个稚嫩的少年变成一名平凡而伟大的解放军战士的成长历程,弘扬雷锋无私奉献的精神。歌曲《唱支山歌给党听》是电影《雷锋》的插曲,由姚筱舟、朱践耳谱曲,音乐流露出民间歌谣体裁的抒情特点,
亲切抒发了主人公“把党比母亲”的真挚情感。


1974年
西沙群岛自卫反击战
1974年1月,越南政府不顾中国的一再警告,悍然派兵侵占中国西沙永乐群岛,并与守岛民兵发生冲突。中国海军与当地渔民对侵略者进行了坚决的斗争与还击,从而拉开了西沙海战的序幕。电影《南海风云》讲述了中国人民解放军海军南海舰队一部与陆军分队、民兵协同作成,对入侵的南越军队反击。歌曲《西沙,我可爱的家乡》是影片《南海风云》的主题曲,吕远作曲、苏圻雄作词。歌曲用优美的旋律讲述了南海的美丽富饶。


70年代末至80年代初
家庭联产承包责任制
1978年农村开始实行家庭联产承包责任制,该制度是农民以家庭为单位,向集体经济组织(主要是村、组)承包土地等生产资料和生产任务的农业生产责任制形式,它是中国现阶段农村的一项基本经济制度。
电影《咱们的牛百岁》讲述了山东农村的一个生产队实行联产承包责任制后,社员的生产热情高涨。但队里几个有名的“问题人物”,却没有承包组肯接纳。大队党支部委员牛百岁,主动提出与这五个人组成一个新的承包小组。在百岁带领下,这个曾被人瞧不起的承包组,发挥各自的积极性,做出了成绩。
歌曲《双脚踏上幸福》是路上海电影制片厂1983年摄制的电影《咱们的牛百岁》片头、片尾曲。该歌曲由刘昌庆作词,肖珩作曲,旋律优美,热情奔放,歌词乡土气息浓郁,表现了农民丰收在望的喜悦之情。


1992年
邓小平南方谈话
1992年1月18日至2月21日,邓小平先后到武昌、深圳、珠海、上海等地视察,并发表了一系列重要讲话,通称南方谈话。
纪录片《邓小平》以邓小平富有传奇色彩的生活活动为线索,第一次形象、全面地反映了他作为改革开放的总设计师和中国特色社会主义理论创立者的重大历史。
歌曲《春天的故事》是纪录片《邓小平》的主题曲,歌词运用叙述的笔触,热情歌颂了邓小平制定的改革开放政策,以及改革开放政策给中国带来的巨大变化。


1997年
香港回归
1997年7月1日中华人民共和国政府对香港恢复行使主权,中华人民共和国香港特别行政区成立。
电视剧《我的1997》讲述了1976年至1997年香港回归前后陆港两地二十多年的岁月变迁,用高建国和安慧年轻时的一段扣人心弦的爱情,连接起了特殊的时代环境下,香港与大陆两地一群不同身份不同性格的年轻人们的奋斗历程。
歌曲《公元1997》是电视剧《我的1997》主题曲,靳树增作词、肖白作曲。


1999年
澳门回归
1999年12月20日中国政府恢复对澳门行使主权,中华人民共和国澳门特别行政区成立。纪录片《澳门岁月》全面记叙了澳门的历史渊源、回归历程、经济发展、传统文化和过渡期各项工作的进展。歌曲《七子之歌--澳门》是 纪录片《澳门岁月》主题曲,歌词展现了澳门400年的沧桑,以及中华民族对命运的抗争。


2016年
神舟十一号载人飞船任务完成
神舟十一号飞船于2016年10月17日发射升空,进入预定轨道 ;于2016年10月19日与天宫二号实现自动交会对接工作,形成组合体;于2016年11月18日进入返回程序,返回舱降落主着陆场,完成载人任务完成 。电影《我和我的祖国》“白昼流星”篇进述了新中国成立70年间普通百姓与共和国息息相关的故事。“白昼流星”篇讲述了神舟十一号飞船安全着陆的故事。歌曲《我和我的祖国》是电影《我和我的祖国》“白昼流星”篇主题曲。优美的旋律与朴实真挚的歌词表达了人们对祖国的衷心依恋和真诚歌颂。


2020年
抗击新冠疫情
2020年伊始,新型冠状病毒肺炎疫情牵动着全国人民的心。面对突如其来的疫情,社会各界纷纷加入到阻击疫情的战斗当中。一方有难,八方支援,众志成城,共抗疫情!电视剧 《最美逆行者》由《逆行》《别来,无恙》《婆媳战疫》《幸福社区》《一千公里》《了不起的兔子叔叔》《同舟》七个单元故事组成,讲述了发生在武汉抗疫一线的故事。 歌曲《逆行者》是电视剧 《最美逆行者》”逆行“篇章的主题曲,电视剧根据2020年全民抗疫涌现出的先进人物和感人事迹改编,讲述了发生在武汉抗疫一线的故事。

2021年7月1日
中国共产党成立70周年
红色的七月
我们用音符书写党的百年征程
用歌声赞美亲爱的祖国
一百年的日月星辰
一百年的艰苦奋斗
中国共产党立志于中华民族千秋伟业
百年恰是风华正茂
千秋伟业还看今朝
神州大地欣欣向荣
中国人民正意气风发迈向
第二个百年奋斗目标
走向中国特色社会主义新时代的壮丽征程!

END
—说明—
文案 | 陈艳婷、邓璇
排版 | 李佳霖
图片、视频剪辑 | 李佳霖
视频音乐:陈艳婷
审核 | 黄德俊老师
冯玲老师
秦越老师
图片、视频来源于网络,侵删
